• Slavonski Brod

Lokalne vijesti

  • Premium
  • Naslovnica
  • Lokalne vijesti
    • BRODSKO-POSAVSKA
      • Bebrina
      • Brodski Stupnik
      • Bukovlje
      • Cernik
      • Davor
      • Donji Andrijevci
      • Dragalić
      • Garčin
      • Gornji Bogićevci
      • Gornja Vrba
      • Gundinci
      • Klakar
      • Nova Gradiška
      • Nova Kapela
      • Okučani
      • Oprisavci
      • Oriovac
      • Podcrkavlje
      • Rešetari
      • Sibinj
      • Sikirevci
      • Slavonski Brod
      • Slavonski Šamac
      • Stara Gradiška
      • Staro Petrovo Selo
      • Velika Kopanica
      • Vrbje
      • Vrpolje
    • POŽEŠKO-SLAVONSKA
      • Brestovac
      • Čaglin
      • Jakšić
      • Kaptol
      • Kutjevo
      • Lipik
      • Pakrac
      • Pleternica
      • Požega
      • Velika
  • Politika

    Politika

    • Domovinski rat
    • EU fondovi
    • Komunalni poslovi
    • Ostalo
    • Političke stranke
    • Uprava/Samouprava
  • Gospodarstvo

    Gospodarstvo

    • Bankarstvo
    • Građevinarstvo
    • Industrija
    • Obrtništvo
    • Ostalo
    • Poljoprivreda
    • Promet
    • Trgovina
    • Turizam
    • Ugostiteljstvo
  • Sport

    Sport

    • Atletika
    • Nogomet
    • Auto-moto
    • Borilački sportovi
    • Kajak Kanu
    • Konjički sport
    • Košarka
    • Kuglanje
    • Lov i ribolov
    • Odbojka
    • Ostalo
    • Plivanje
    • Rukomet
    • Šah
    • Školski sport
    • Sportska rekreacija
    • Stolni tenis
    • Tenis
    • Vaterpolo
  • Kultura

    Kultura

    • Film
    • Glazba
    • Kazalište
    • Književnost
    • Kulturno umjetničko društvo
    • Likovnost
    • Ostalo
  • Obrazovanje

    Obrazovanje

    • Informatika
    • Osnovno
    • Ostalo
    • Srednje
    • Visoko
    • Vrtići
  • Život

    Život

    • Aga
    • Autoportret uglednika
    • Drukčije
    • Gastronomija
    • Koronavirus
    • Okoliš
    • Ostalo
    • Pisani intervju - brodski zaslužnici
    • Potrošači
    • Putovanja
    • Tulumarka
    • Udruge građana
    • Vjerski život
    • Zabava
    • Zdravlje
  • Crna kronika
  • Reagiranja
  • Kalendar
Prijavi se Prijavi se
plusportal.hr plusportal.hr plusportal.hr
Slavonski Brod
premium premium
10° vrijeme
  • Naslovnica
  • Lokalne vijesti
    • BRODSKO-POSAVSKA
      • Bebrina
      • Brodski Stupnik
      • Bukovlje
      • Cernik
      • Davor
      • Donji Andrijevci
      • Dragalić
      • Garčin
      • Gornji Bogićevci
      • Gornja Vrba
      • Gundinci
      • Klakar
      • Nova Gradiška
      • Nova Kapela
      • Okučani
      • Oprisavci
      • Oriovac
      • Podcrkavlje
      • Rešetari
      • Sibinj
      • Sikirevci
      • Slavonski Brod
      • Slavonski Šamac
      • Stara Gradiška
      • Staro Petrovo Selo
      • Velika Kopanica
      • Vrbje
      • Vrpolje
    • POŽEŠKO-SLAVONSKA
      • Brestovac
      • Čaglin
      • Jakšić
      • Kaptol
      • Kutjevo
      • Lipik
      • Pakrac
      • Pleternica
      • Požega
      • Velika
  • Politika

    Politika

    • Domovinski rat
    • EU fondovi
    • Komunalni poslovi
    • Ostalo
    • Političke stranke
    • Uprava/Samouprava
  • Gospodarstvo

    Gospodarstvo

    • Bankarstvo
    • Građevinarstvo
    • Industrija
    • Obrtništvo
    • Ostalo
    • Poljoprivreda
    • Promet
    • Trgovina
    • Turizam
    • Ugostiteljstvo
  • Sport

    Sport

    • Atletika
    • Nogomet
    • Auto-moto
    • Borilački sportovi
    • Kajak Kanu
    • Konjički sport
    • Košarka
    • Kuglanje
    • Lov i ribolov
    • Odbojka
    • Ostalo
    • Plivanje
    • Rukomet
    • Šah
    • Školski sport
    • Sportska rekreacija
    • Stolni tenis
    • Tenis
    • Vaterpolo
  • Kultura

    Kultura

    • Film
    • Glazba
    • Kazalište
    • Književnost
    • Kulturno umjetničko društvo
    • Likovnost
    • Ostalo
  • Obrazovanje

    Obrazovanje

    • Informatika
    • Osnovno
    • Ostalo
    • Srednje
    • Visoko
    • Vrtići
  • Život

    Život

    • Aga
    • Autoportret uglednika
    • Drukčije
    • Gastronomija
    • Koronavirus
    • Okoliš
    • Ostalo
    • Pisani intervju - brodski zaslužnici
    • Potrošači
    • Putovanja
    • Tulumarka
    • Udruge građana
    • Vjerski život
    • Zabava
    • Zdravlje
  • Crna kronika
  • Reagiranja
  • Kalendar
 - 
Početna Slavonski Brod Gospodarstvo
Početna Slavonski Brod Gospodarstvo
Gospodarstvo : Poljoprivreda
Autor: Luka Sudar
26.2.2026. u 20:00
Godina s četiri prirodne nepogode

Prijavili više od 37 mil. eura štete od lanjskih prirodnih nepogoda

BPŽ
BPŽ
BPŽ
BPŽ
BPŽ
BPŽ
BPŽ
/ 8
BPŽ
BPŽ
BPŽ
BPŽ
BPŽ
BPŽ
BPŽ
/ 8
 / 8
AP/SBplus
339 Prikaza
0 Komentara

Župan Danijel Marušić prošle je godine u četiri navrata proglasio stanje prirodne nepogode, a oluje s tučom i dugotrajna suša prouzročile su goleme štete na poljoprivredi i infrastrukturi. Tako je prošle, 2025. godine ukupno zabilježeno više od 37 milijuna eura štete na poljoprivrednoj i građevinskoj imovini

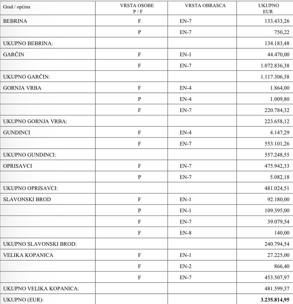
SLAVONSKI BROD - Župan Brodsko-posavske županije, Danijel Marušić prošle je godine u četiri navrata proglasio stanje prirodne nepogode - 12. svibnja, 7. srpnja, 16. srpnja te 8. i 10. listopada.

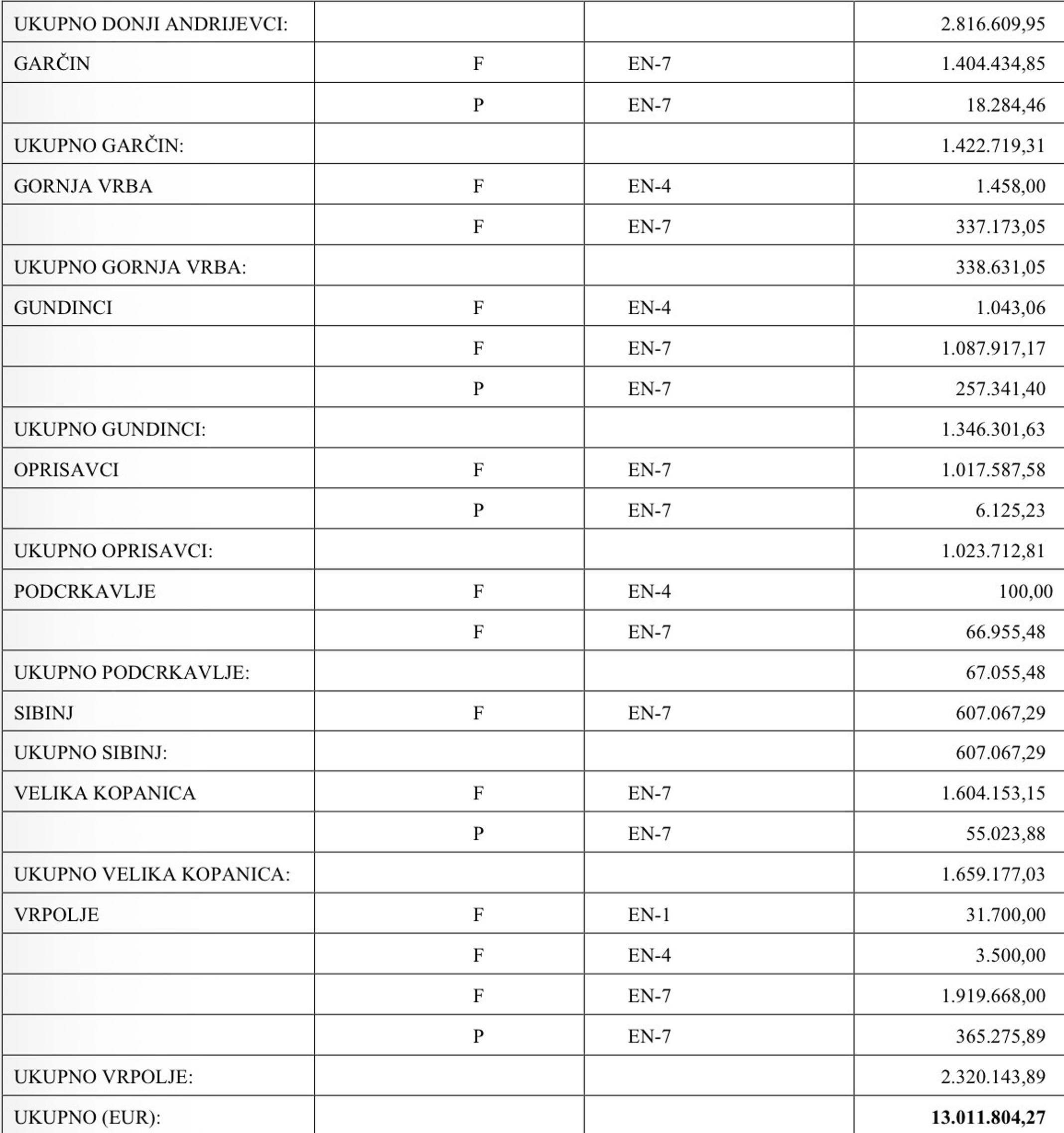
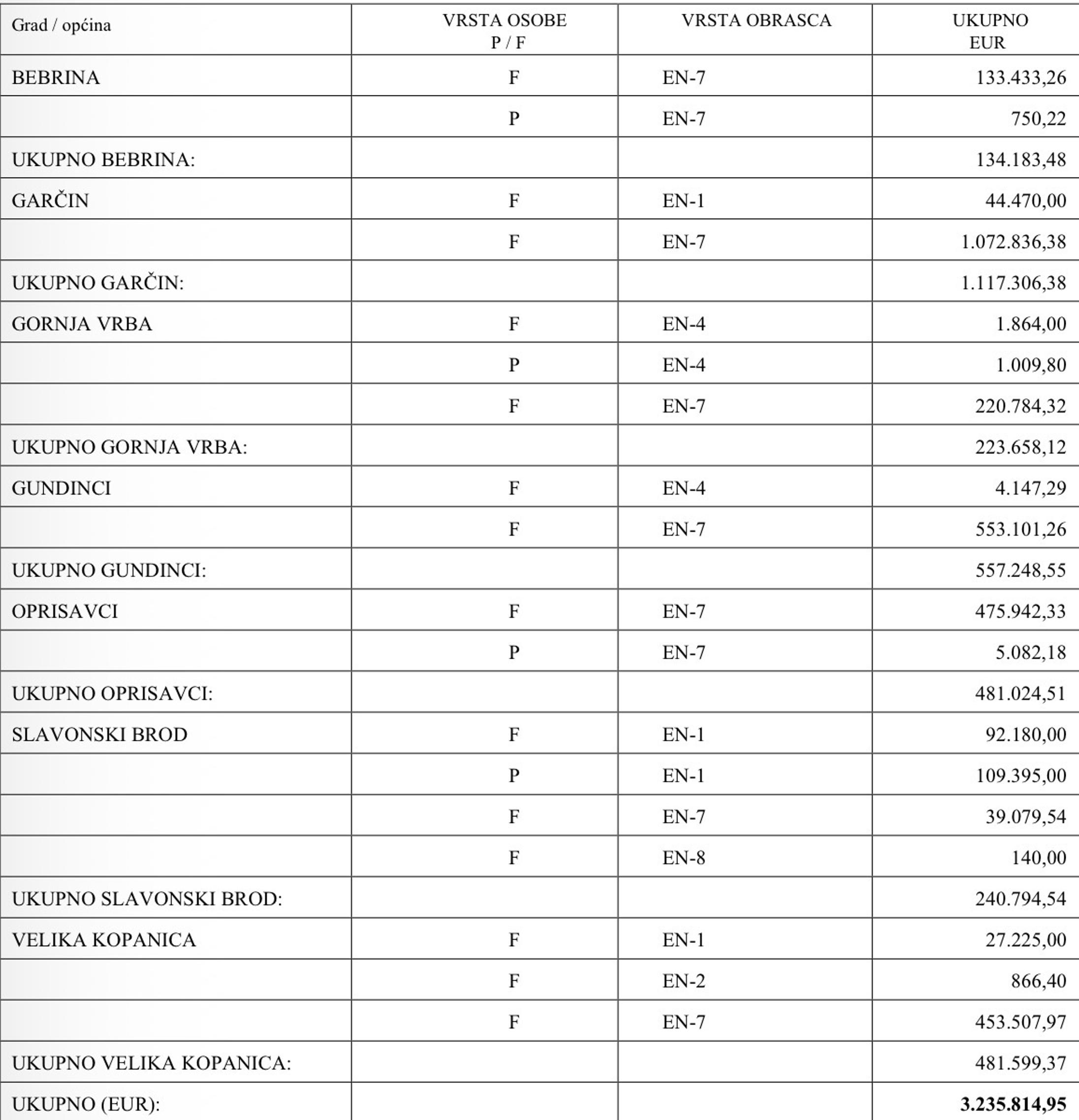
Olujno nevrijeme praćeno jakom tučom početkom svibnja prošle godine na području općina Bebrina, Brodski Stupnik, Bukovlje, Donji Andrijevci, Garčin, Gornja Vrba, Gundinci, Oprisavci, Podcrkavlje, Sibinj, Velika Kopanica i Vrpolje prouzročilo je ukupno utvrđenih 13 milijuna eura štete na nasadima, poljoprivrednim kulturama te građevinskim i infrastrukturnim objektima 30 fizičkih i pravnih osoba. Najveća ukupna šteta prijavljena je u Donjim Andrijevcima - gdje su četiri fizičke i jedna pravna osoba prijavile oko 2,8 milijuna eura štete. Upravo ondje zabilježena je i najveća pojedinačna šteta prve prošlogodišnje prirodne nepogode - jedna fizička osoba prijavila je čak 2,2 milijuna eura. U općini Vrpolje evidentirana je druga šteta veća od dva milijuna eura - ukupno 2,3 milijuna, dok je jedna fizička osoba ondje prijavila štetu od 1,9 milijuna eura. Ukupno, od 12 općina - njih je sedam prešlo milijunski iznos ukupno utvrđene štete. Najmanje je svibanjske štete zabilježeno u Bukovlju - oko 57 tisuća eura. Prosječno - prema podacima Županijskog povjerenstva jedna je fizička/pravna osoba prijavila više od 433 tisuće eura štete.

 | Author: BPŽ BPŽ
 | Author: BPŽ BPŽ

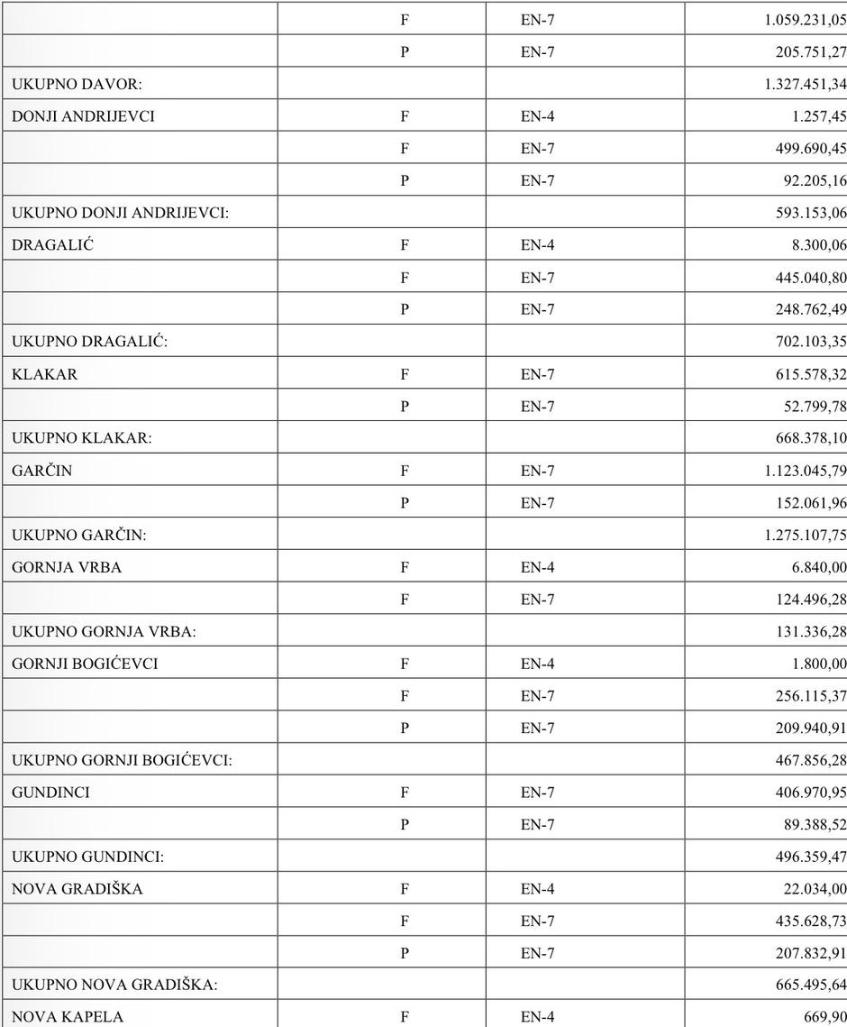
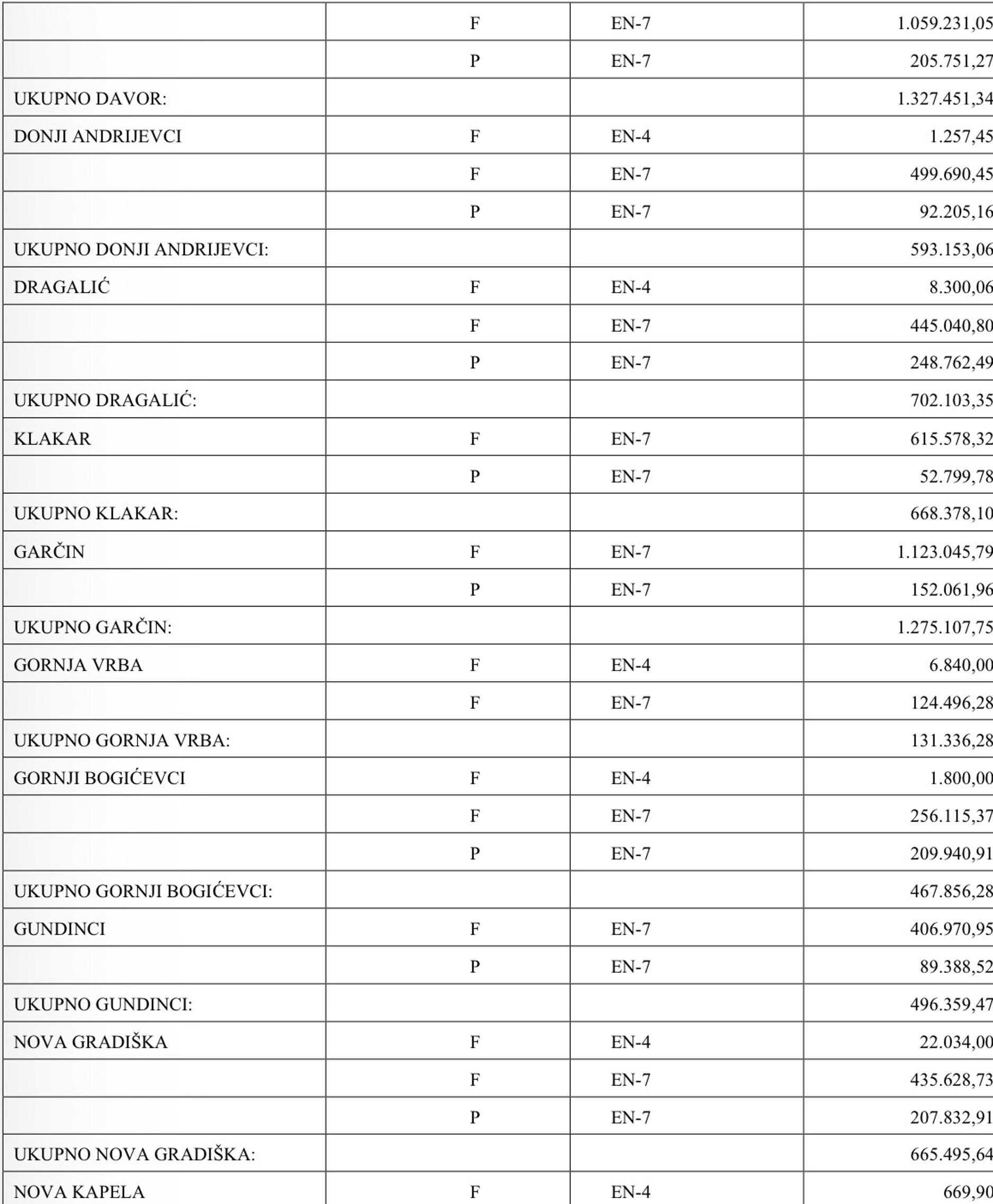
Krajem lipnja je olujno nevrijeme poharalo Podcrkavlje, gdje je zabilježena šteta od 85 tisuća eura koju je prijavila jedna fizička osoba, a nekoliko dana kasnije, 8. srpnja - olujno nevrijeme popraćeno jakom tučom uzrokovalo je štete na području općina Bebrina, Garčin, Gornja Vrba, Gundinci, Oprisavci, Velika Kopanica i grada Slavonskog Broda. Tada je ukupno zabilježeno 3,2 milijuna eura štete 18 fizičnih i pravnih osoba. Najviše je štete tada zabilježeno u Garčinu, više od 1,1 milijun eura, a tamo je samo kod jedne fizičke osobe zabilježeno više od milijun eura. U gradu Slavonskom Brodu zabilježeno je 240 tisuća eura štete. Zbog srpanjske štete u prosjeku je fizička/pravna osoba prijavila 177 tisuća eura štete na svojim nasadima, poljoprivrednim kulturama te građevinskim i infrastrukturnim objektima.

 | Author: BPŽ BPŽ
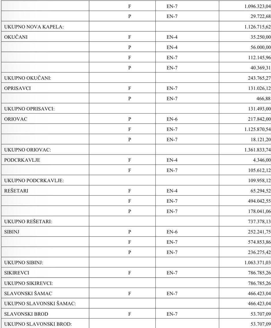
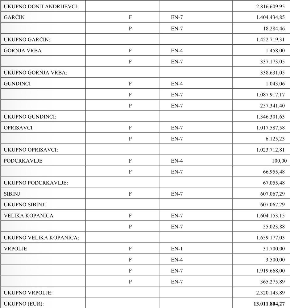
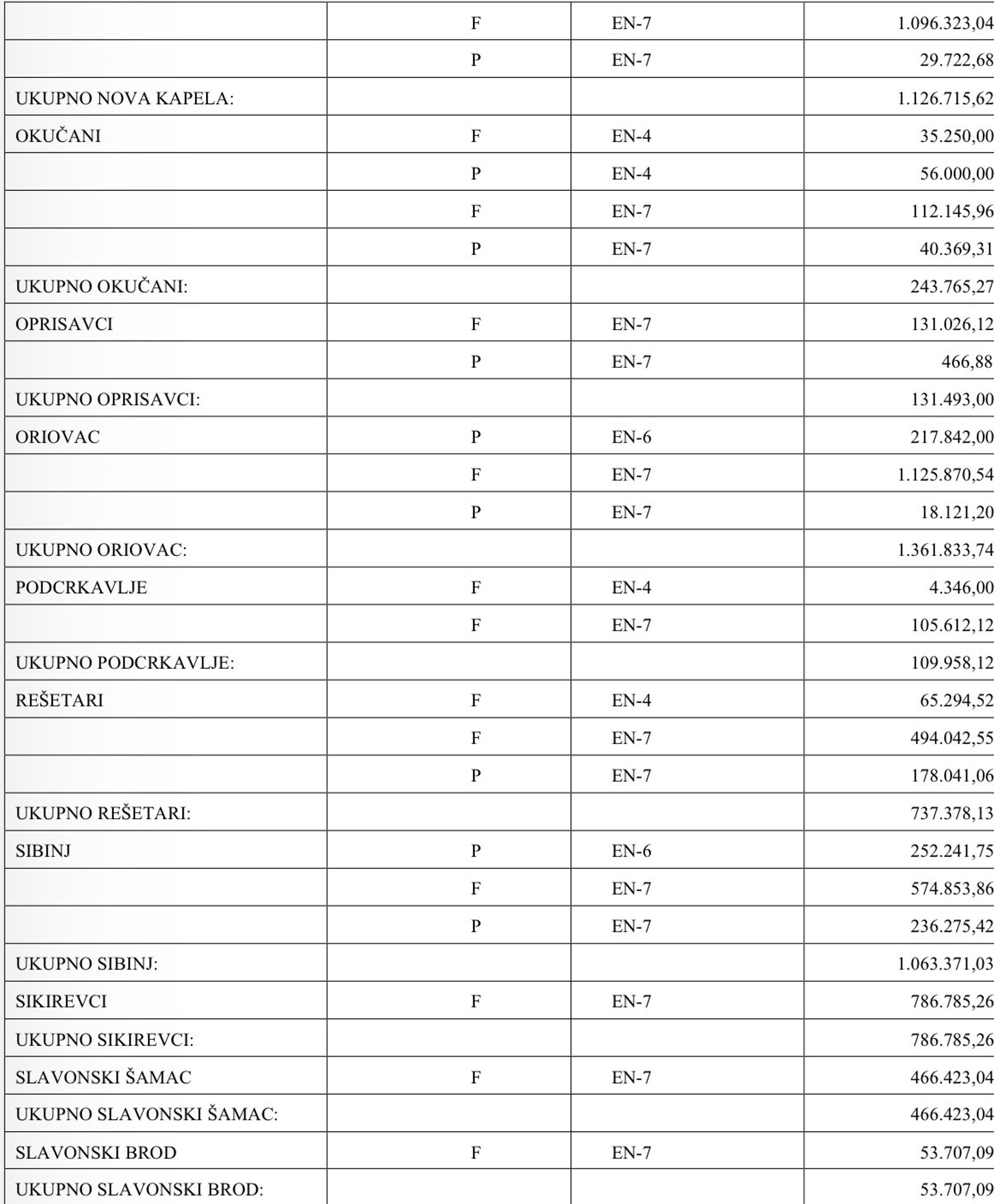
Za prirodnu nepogodu uzrokovanu sušom na poljoprivrednim usjevima proljetne sjetve 2025. godine, postrnim usjevima, djetelinsko-travnim smjesama, ribnjačarskim površinama i višegodišnjim nasadima voćnjaka i vinograda u vremenu od lipnja do rujna 2025. godine, župan Marušić proglasio je 8. i 10. listopada stanje prirodne nepogode. Tada je ukupno 69 fizičkih i pravnih osoba prijavilo ukupno 20,6 milijuna eura štete na svojim poljoprivrednim površinama u općinama Bebrina, Brodski Stupnik, Bukovlje, Cernik, Davor, Donji Andrijevci, Dragalić, Garčin, Gornja Vrba, Gornji Bogićevci, Gundinci, Klakar, Nova Kapela, Okučani, Oprisavci, Oriovac, Podcrkavlje, Rešetari, Sibinj, Sikirevci, Slavonski Šamac, Stara Gradiška, Staro Petrovo Selo, Velika Kopanica, Vrbje, Vrpolje i gradova Slavonski Brod i Nova Gradiška. U Starom Petrovom Selu zabilježeno je najviše štete - oko 3 milijuna eura, na tri različite lokacije, dok je grad Slavonski Brod zabilježio najmanje štete - oko 53 tisuće eura. U drugom gradu županije - Novoj Gradiški, zabilježeno je oko 665 tisuća eura, dok je milijunska šteta zabilježena u Bebrini, Davoru, Garčinu, Novoj Kapeli, Oriovcu, Sibinju, Starom Petrovom Selu i Vrbju. Prosječna šteta od suše prijavljena po jednoj fizičkoj/pravnoj osobi iznosi oko 304 tisuće eura. 

 | Author: BPŽ BPŽ
 | Author: BPŽ BPŽ
 | Author: BPŽ BPŽ
 | Author: BPŽ BPŽ
Tako je ukupno u 2025. na području Brodsko-posavske županije utvrđeno nešto više od 37 milijuna eura štete od prirodnih nepogoda.

Tako smo, prema izračunu prosječnog iznosa štete po jednoj prijavljenoj fizičkoj ili pravnoj osobi - zaključili kako je najveći teret u županiji donijela svibanjska oluja praćena tučom - s prosječno prijavljenih više od 433 tisuće eura štete po osobi.

Podijeli
Podijeli
Komentari 0
Najnoviji
  • Najnoviji
  • Najstariji
  • Važna obavijest
    Sukladno članku 94. Zakona o elektroničkim medijima, komentiranje članaka na web portalu i mobilnim aplikacijama plusportal.hr dopušteno je samo registriranim korisnicima. Svaki korisnik koji želi komentirati članke obvezan je prethodno se upoznati s Pravilima komentiranja na web portalu i mobilnim aplikacijama plusportal.hr te sa zabranama propisanim stavkom 2. članka 94. Zakona.
  • Komentirajte prvi!

    Trenutno nema komentara, napišite prvi komentar i pokrenite raspravu.

Povezani sadržaj
Treći mandat na čelu županija

Župani dali Marušiću povjerenje do 2027.

Proglašenje prirodne nepogode

Još 3 brodsko-posavske općine obuhvaćene županovom odlukom

Župan Danijel Marušić
Politički sukob zbog nedostatka liječnika u BPŽ

Kriza u zdravstvu BPŽ? Župan tvrdi da zaštita djece nije ugrožena.

Županija bilježi razvoj

Partnersko vijeće: Investicije za zaštitu okoliša znatno skočile

Donosimo detalje

Odlukama o proglašenju nepogoda obuhvaćene četiri općine

Nastavite čitati
Iz drugog vremena i svijeta u Slavonski Brod

Turisti su moje medaljone rasuli po svijetu. Na svakom piše 'Hrvatska'

Sve pada, samo teretni prijevoz rapidno raste

Opterećenost kamionima Brođani osjećaju (i čuju) gotovo svaki dan

U crkvi Presvetog Trojstva

Nagrađivani zborovi predstavit će se slavonskobrodskoj publici

Tvrtka ministrovog sina stoji u redu za naplatu

Na dražbi oglašen voćnjak koji dijeli ime s ovom prometnom dionicom

I dalje zapošljava više od 300 radnika

Kraj Rafinerije Brod? Potonula u dug veći od 500 milijuna eura!

Novi teški ugovor za Specijalna vozila

Veliki deal s češkim kupcem: U igri je čak 13 i pol milijuna eura!

Dobar plan za 13. ožujka

Radnici ove tvrtke u Slav. Brodu odlučili drukčije provesti radni dan

Ima li pomoći neopreznim vozačima?

Promjene na raskrižju koje je 'vidjelo' veliki broj sudara

Učitaj još članaka
  • Politika
  • Kolumne
  • Kultura
  • Obrazovanje
  • Sport
  • Život
  • Crna kronika
  • Iz drugih medija
  • Reagiranja
  • Kalendar
  • Partneri
  • Impressum
  • Uvjeti korištenja
  • Politika privatnosti
  • Politika kolačića
  • Kontakt
  • Pritužbe
  • Suradnici
  • Oglašavanje
Rubrike
  • Politike
  • Kolumne
  • Kultura
  • Obrazovanje
  • Sport
  • Život
  • Crna kronika
  • Iz drugih medija
  • Reagiranja
  • Kalendar
  • Partneri
brodsko-posavska županija
  • Bebrina
  • Brodski Stupnik
  • Bukovlje
  • Cernik
  • Davor
  • Donji Andrijevci
  • Dragalić
  • Garčin
  • Gornji Bogićevci
  • Gornja Vrba
  • Gundinci
  • Klakar
  • Nova Gradiška
  • Nova Kapela
  • Okučani
  • Oprisavci
  • Oriovac
  • Podcrkavlje
  • Rešetari
  • Sibinj
  • Sikirevci
  • Slavonski Brod
  • Slavonski Šamac
  • Stara Gradiška
  • Staro Petrovo Selo
  • Velika Kopanica
  • Vrbje
  • Vrpolje
Požeško-slavonska županija
  • Brestovac
  • Čaglin
  • Jakšić
  • Kaptol
  • Kutjevo
  • Lipik
  • Pakrac
  • Pleternica
  • Požega
  • Velika
  • Impressum
  • Uvjeti korištenja
  • Politika privatnosti
  • Politika kolačića
  • Kontakt
  • Pritužbe
  • Suradnici
  • Oglašavanje
Brodsko-posavska županija
  • Bebrina
  • Brodski Stupnik
  • Bukovlje
  • Cernik
  • Davor
  • Donji Andrijevci
  • Dragalić
  • Garčin
  • Gornji Bogićevci
  • Gornja Vrba
  • Gundinci
  • Klakar
  • Nova Gradiška
  • Nova Kapela
  • Okučani
  • Oprisavci
  • Oriovac
  • Podcrkavlje
  • Rešetari
  • Sibinj
  • Sikirevci
  • Slavonski Brod
  • Slavonski Šamac
  • Stara Gradiška
  • Staro Petrovo Selo
  • Velika Kopanica
  • Vrbje
  • Vrpolje
Požeško-slavonska županija
  • Brestovac
  • Čaglin
  • Jakšić
  • Kaptol
  • Kutjevo
  • Lipik
  • Pakrac
  • Pleternica
  • Požega
  • Velika
Pratite nas na društvenim mrežama:
Copyright © 2026 plusportal.hr, sva prava pridržana
Designed & developed by Smart Code

Brinemo o Vašoj privatnosti

Više o našim Politikama zaštite privatnosti te Politikama kolačića možete pročitati ovdje: Politika zaštite privatnosti, Politika kolačića. Mi i naši partneri pohranjujemo i pristupamo neosjetljivim informacijama s vašeg uređaja, poput kolačića ili jedinstvenog identifikatora uređaja te obrađujemo osobne podatke poput IP adrese i identifikatore kolačića radi obrade podataka u svrhu prikazivanja personaliziranih oglasa, mjerenja preferencija naših posjetitelja i sl. Svoje postavke u svakom trenutku možete promijeniti u našim Pravilima o zaštiti privatnosti na ovoj web stranici.
Neki partneri ne traže vaš pristanak za obradu vaših podataka već se pozivaju na svoj legitimni poslovni interes. Takvom načinu obrade podataka možete se usprotiviti klikom na "Saznajte više".
Mi i naši partneri obrađujemo podatke kako slijedi: Pohranjivanje i / ili pristup podacima na uređaju, Precizni geolokacijski podaci i identifikacija pregledavanjem uređaja, Prilagođeni oglasi i sadržaj, mjerenje oglasa i sadržaja, uvidi o publici, razvoj proizvoda

Obavezni kolačići

Neobavezni kolačići:

Davanjem suglasnosti za gore navedene svrhe ovoj web stranici i njezinim partnerima dopuštate i provođenje sljedeće obrade podataka: Jamčenje sigurnosti, sprječavanja prevara i ispravljanja pogrešaka, Povezivanje različitih uređaja, Primanje i korištenje automatski poslatih karakteristika uređaja radi identifikacije, Tehnički isporučuju oglase ili sadržaj, i Usklađivanje i kombiniranje izvanmrežnih izvora podataka
Prihvaćam
Saznajte više