• Slavonski Brod

Lokalne vijesti

  • Premium
  • Naslovnica
  • Lokalne vijesti
    • BRODSKO-POSAVSKA
      • Bebrina
      • Brodski Stupnik
      • Bukovlje
      • Cernik
      • Davor
      • Donji Andrijevci
      • Dragalić
      • Garčin
      • Gornji Bogićevci
      • Gornja Vrba
      • Gundinci
      • Klakar
      • Nova Gradiška
      • Nova Kapela
      • Okučani
      • Oprisavci
      • Oriovac
      • Podcrkavlje
      • Rešetari
      • Sibinj
      • Sikirevci
      • Slavonski Brod
      • Slavonski Šamac
      • Stara Gradiška
      • Staro Petrovo Selo
      • Velika Kopanica
      • Vrbje
      • Vrpolje
    • POŽEŠKO-SLAVONSKA
      • Brestovac
      • Čaglin
      • Jakšić
      • Kaptol
      • Kutjevo
      • Lipik
      • Pakrac
      • Pleternica
      • Požega
      • Velika
  • Politika

    Politika

    • Domovinski rat
    • EU fondovi
    • Komunalni poslovi
    • Ostalo
    • Političke stranke
    • Uprava/Samouprava
  • Gospodarstvo

    Gospodarstvo

    • Bankarstvo
    • Građevinarstvo
    • Industrija
    • Obrtništvo
    • Ostalo
    • Poljoprivreda
    • Promet
    • Trgovina
    • Turizam
    • Ugostiteljstvo
  • Sport

    Sport

    • Atletika
    • Nogomet
    • Auto-moto
    • Borilački sportovi
    • Kajak Kanu
    • Konjički sport
    • Košarka
    • Kuglanje
    • Lov i ribolov
    • Odbojka
    • Ostalo
    • Plivanje
    • Rukomet
    • Šah
    • Školski sport
    • Sportska rekreacija
    • Stolni tenis
    • Tenis
    • Vaterpolo
  • Kultura

    Kultura

    • Film
    • Glazba
    • Kazalište
    • Književnost
    • Kulturno umjetničko društvo
    • Likovnost
    • Ostalo
  • Obrazovanje

    Obrazovanje

    • Informatika
    • Osnovno
    • Ostalo
    • Srednje
    • Visoko
    • Vrtići
  • Život

    Život

    • Aga
    • Autoportret uglednika
    • Drukčije
    • Gastronomija
    • Koronavirus
    • Okoliš
    • Ostalo
    • Pisani intervju - brodski zaslužnici
    • Potrošači
    • Putovanja
    • Tulumarka
    • Udruge građana
    • Vjerski život
    • Zabava
    • Zdravlje
  • Crna kronika
  • Reagiranja
  • Kalendar
Prijavi se Prijavi se
plusportal.hr plusportal.hr plusportal.hr
Slavonski Brod
premium premium
10° vrijeme
  • Naslovnica
  • Lokalne vijesti
    • BRODSKO-POSAVSKA
      • Bebrina
      • Brodski Stupnik
      • Bukovlje
      • Cernik
      • Davor
      • Donji Andrijevci
      • Dragalić
      • Garčin
      • Gornji Bogićevci
      • Gornja Vrba
      • Gundinci
      • Klakar
      • Nova Gradiška
      • Nova Kapela
      • Okučani
      • Oprisavci
      • Oriovac
      • Podcrkavlje
      • Rešetari
      • Sibinj
      • Sikirevci
      • Slavonski Brod
      • Slavonski Šamac
      • Stara Gradiška
      • Staro Petrovo Selo
      • Velika Kopanica
      • Vrbje
      • Vrpolje
    • POŽEŠKO-SLAVONSKA
      • Brestovac
      • Čaglin
      • Jakšić
      • Kaptol
      • Kutjevo
      • Lipik
      • Pakrac
      • Pleternica
      • Požega
      • Velika
  • Politika

    Politika

    • Domovinski rat
    • EU fondovi
    • Komunalni poslovi
    • Ostalo
    • Političke stranke
    • Uprava/Samouprava
  • Gospodarstvo

    Gospodarstvo

    • Bankarstvo
    • Građevinarstvo
    • Industrija
    • Obrtništvo
    • Ostalo
    • Poljoprivreda
    • Promet
    • Trgovina
    • Turizam
    • Ugostiteljstvo
  • Sport

    Sport

    • Atletika
    • Nogomet
    • Auto-moto
    • Borilački sportovi
    • Kajak Kanu
    • Konjički sport
    • Košarka
    • Kuglanje
    • Lov i ribolov
    • Odbojka
    • Ostalo
    • Plivanje
    • Rukomet
    • Šah
    • Školski sport
    • Sportska rekreacija
    • Stolni tenis
    • Tenis
    • Vaterpolo
  • Kultura

    Kultura

    • Film
    • Glazba
    • Kazalište
    • Književnost
    • Kulturno umjetničko društvo
    • Likovnost
    • Ostalo
  • Obrazovanje

    Obrazovanje

    • Informatika
    • Osnovno
    • Ostalo
    • Srednje
    • Visoko
    • Vrtići
  • Život

    Život

    • Aga
    • Autoportret uglednika
    • Drukčije
    • Gastronomija
    • Koronavirus
    • Okoliš
    • Ostalo
    • Pisani intervju - brodski zaslužnici
    • Potrošači
    • Putovanja
    • Tulumarka
    • Udruge građana
    • Vjerski život
    • Zabava
    • Zdravlje
  • Crna kronika
  • Reagiranja
  • Kalendar
 - 
Početna Slavonski Brod Politika
Početna Slavonski Brod Politika
Politika : Uprava/Samouprava
Autor: Ž.G. / PlusPortal
31.3.2026. u 20:00
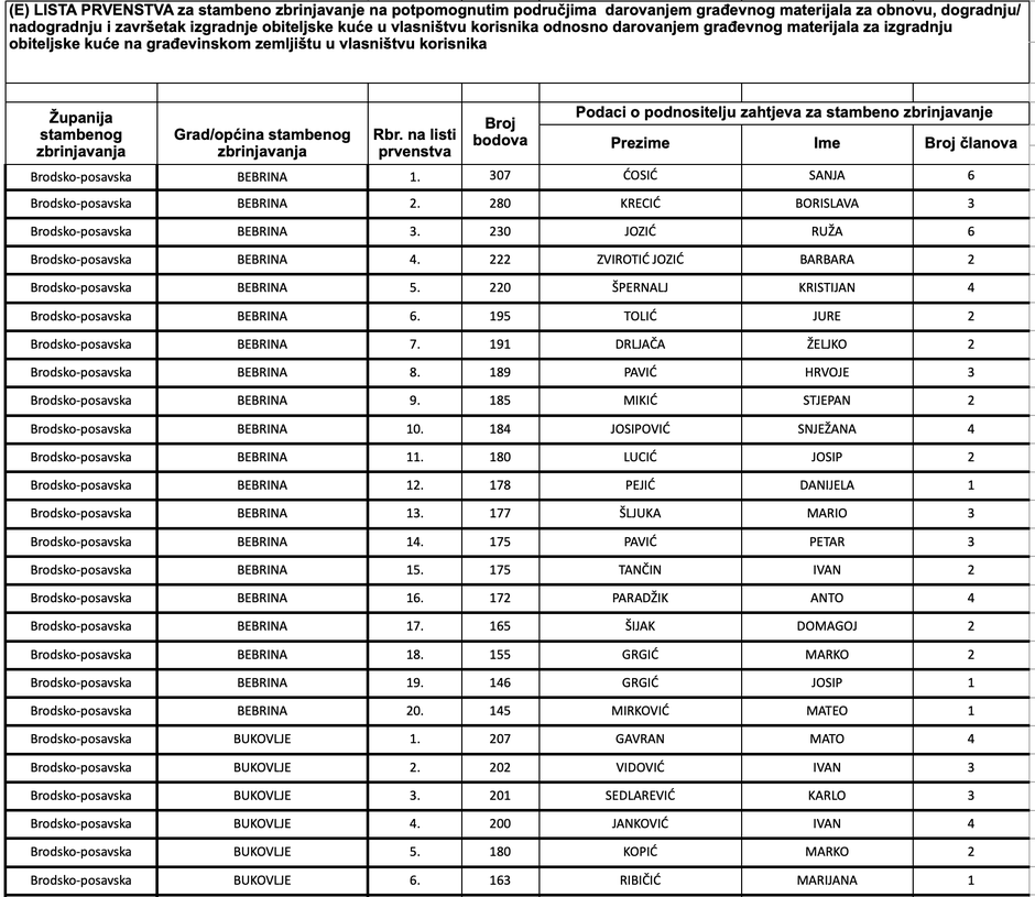
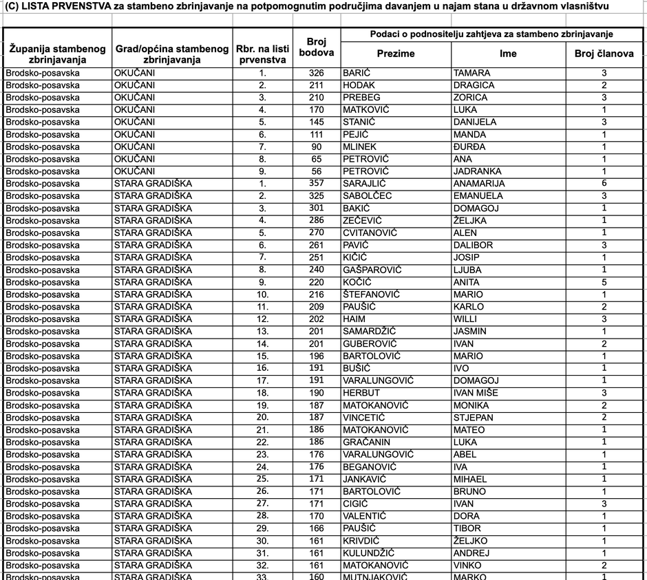
Sedam modela stambenog zbrinjavanja

Objavljena konačna lista prvenstva za Brodsko-posavsku županiju

Ilustracija Općina Podcrkavlje
/ 1
Ilustracija Općina Podcrkavlje
/ 1
 / 1
AP/SBplus
1827 Prikaza
0 Komentara

U utorak je na službenoj stranici Brodsko-posavske županije objavljena Izvršna liste prvenstva za stambeno zbrinjavanje na tom području u 2026. godini kroz sedam različitih modela - od najma kuće u državnom vlasništvu preko darovanja zemljišta ili materijala do prodaje neuseljivog državnog stana.

SLAVONSKI BROD - Na službenoj internetskoj stranici Županije danas je objavljena konačna odnosno Izvršna lista prvenstva za stambeno zbrinjavanje na području Brodsko-posavske županije u 2026. godini.

Lista prvenstva utvrđuje se za područje Brodsko-posavske županije u 2026. godini prema modelima stambenog zbrinjavanja na potpomognutim područjima:

- lista prvenstva za stambeno zbrinjavanje na potpomognutim područjima davanjem u najam obiteljske kuće u državnom vlasništvu (model A);
- lista prvenstva za stambeno zbrinjavanje na potpomognutim područjima darovanjem neuseljive obiteljske kuće u državnom vlasništvu i građevnog materijala za njezinu obnovu ili rekonstrukciju (model B);
- lista prvenstva za stambeno zbrinjavanje na potpomognutim područjima davanjem u najam stana u državnom vlasništvu (model C);
- lista prvenstva za stambeno zbrinjavanje na potpomognutim područjima darovanjem građevinskog zemljišta u državnom vlasništvu i građevnog materijala za izgradnju obiteljske kuće (model D);
- lista prvenstva za stambeno zbrinjavanje na potpomognutim područjima darovanjem građevnog materijala za obnovu, dogradnju/nadogradnju i završetak izgradnje obiteljske kuće u vlasništvu podnositelja prijave odnosno darovanjem građevnog materijala za izgradnju obiteljske kuće na građevinskom zemljištu u vlasništvu podnositelja prijave (model E);
- lista prvenstva za stambeno zbrinjavanje na potpomognutim područjima prodajom neuseljivog stana u državnom vlasništvu (model F);
- lista prvenstva za stambeno zbrinjavanje na potpomognutim područjima davanjem građevnog materijala za popravak zadnje etaže stana ili potkrovlja obiteljske kuće (model G).

Ovogodišnja konačna lista prvenstva nalazi se OVDJE (u istom dokumentu liste prema modelima od A do F), a možete je preuzeti i kao dokument u nastavku:

Dokument
Preuzimanje

 | Author:

 | Author:
 | Author:
 | Author:

 | Author:
 | Author:
 | Author:
 | Author:
 | Author:
 | Author:
 | Author:
 | Author:

 | Author:
 | Author:

Podijeli
Podijeli
Komentari 0
Najnoviji
  • Najnoviji
  • Najstariji
  • Važna obavijest
    Sukladno članku 94. Zakona o elektroničkim medijima, komentiranje članaka na web portalu i mobilnim aplikacijama plusportal.hr dopušteno je samo registriranim korisnicima. Svaki korisnik koji želi komentirati članke obvezan je prethodno se upoznati s Pravilima komentiranja na web portalu i mobilnim aplikacijama plusportal.hr te sa zabranama propisanim stavkom 2. članka 94. Zakona.
  • Komentirajte prvi!

    Trenutno nema komentara, napišite prvi komentar i pokrenite raspravu.

Povezani sadržaj
Objavljena nova lista najutjecajnijih

Marina Dabić ponovno dio svjetske znanstvene elite

Zvuči kao dobar politički deal

Načelnik koji, u startu, Općinu košta 120.000 eura manje no kolege

Iskoristi priliku za Slavonski Brod:

Zaokruži broj 4 i listu Hrvatske demokratske zajednice

Zauzvrat se moraju vratiti u županiju

Izabrali devetero budućih liječnika koje će stipendirati

Zgrada Brodsko-posavske županije (Ilustracija)
Potpomognuta područja

U tijeku prijave za stambeno zbrinjavanje

Nastavite čitati
Energetska obnova zgrade JVP SB

Radovi pri kraju. Evo kako danas izgleda dom brodskih vatrogasaca

'Naknada raste od 100 do 500 posto!'

Uzeli rješenja 5 brodskih tvrtki i izračunali rast komunalne naknade

Za 150-200 vozila

Treba li nadzemna garaža u Slav. Brodu, na Klasijama, ovako izgledati?

Pratit će (ne)zaposlenost i prebivalište/boravište

Grad postrožio uvjete oko upisa u vrtić. Žele spriječiti prijevare!

Benčević A.: 'Dijete skače u grob za roditeljima!'

Ovo je vlasnik brodske „Ljuštione” zapisao o Brodu 11. srpnja 1944.

Počeli radovi na 'Hebrangu'

Nove staze za brodsko naselje. Valjda zbog njih neće izgubiti drvored!

U Bukovlju potpisani ugovori

Evo kako je načelnik Đaković raspodijelio sredstva među udrugama

Odlučili se za spoj mladosti i iskustva

Je li vrijeme za HDZ-ovog načelnika: 'Nama trebaju bageri na terenu!'

Učitaj još članaka
  • Politika
  • Kolumne
  • Kultura
  • Obrazovanje
  • Sport
  • Život
  • Crna kronika
  • Iz drugih medija
  • Reagiranja
  • Kalendar
  • Partneri
  • Impressum
  • Uvjeti korištenja
  • Politika privatnosti
  • Politika kolačića
  • Kontakt
  • Pritužbe
  • Suradnici
  • Oglašavanje
Rubrike
  • Politike
  • Kolumne
  • Kultura
  • Obrazovanje
  • Sport
  • Život
  • Crna kronika
  • Iz drugih medija
  • Reagiranja
  • Kalendar
  • Partneri
brodsko-posavska županija
  • Bebrina
  • Brodski Stupnik
  • Bukovlje
  • Cernik
  • Davor
  • Donji Andrijevci
  • Dragalić
  • Garčin
  • Gornji Bogićevci
  • Gornja Vrba
  • Gundinci
  • Klakar
  • Nova Gradiška
  • Nova Kapela
  • Okučani
  • Oprisavci
  • Oriovac
  • Podcrkavlje
  • Rešetari
  • Sibinj
  • Sikirevci
  • Slavonski Brod
  • Slavonski Šamac
  • Stara Gradiška
  • Staro Petrovo Selo
  • Velika Kopanica
  • Vrbje
  • Vrpolje
Požeško-slavonska županija
  • Brestovac
  • Čaglin
  • Jakšić
  • Kaptol
  • Kutjevo
  • Lipik
  • Pakrac
  • Pleternica
  • Požega
  • Velika
  • Impressum
  • Uvjeti korištenja
  • Politika privatnosti
  • Politika kolačića
  • Kontakt
  • Pritužbe
  • Suradnici
  • Oglašavanje
Brodsko-posavska županija
  • Bebrina
  • Brodski Stupnik
  • Bukovlje
  • Cernik
  • Davor
  • Donji Andrijevci
  • Dragalić
  • Garčin
  • Gornji Bogićevci
  • Gornja Vrba
  • Gundinci
  • Klakar
  • Nova Gradiška
  • Nova Kapela
  • Okučani
  • Oprisavci
  • Oriovac
  • Podcrkavlje
  • Rešetari
  • Sibinj
  • Sikirevci
  • Slavonski Brod
  • Slavonski Šamac
  • Stara Gradiška
  • Staro Petrovo Selo
  • Velika Kopanica
  • Vrbje
  • Vrpolje
Požeško-slavonska županija
  • Brestovac
  • Čaglin
  • Jakšić
  • Kaptol
  • Kutjevo
  • Lipik
  • Pakrac
  • Pleternica
  • Požega
  • Velika
Pratite nas na društvenim mrežama:
Copyright © 2026 plusportal.hr, sva prava pridržana
Designed & developed by Smart Code

Brinemo o Vašoj privatnosti

Više o našim Politikama zaštite privatnosti te Politikama kolačića možete pročitati ovdje: Politika zaštite privatnosti, Politika kolačića. Mi i naši partneri pohranjujemo i pristupamo neosjetljivim informacijama s vašeg uređaja, poput kolačića ili jedinstvenog identifikatora uređaja te obrađujemo osobne podatke poput IP adrese i identifikatore kolačića radi obrade podataka u svrhu prikazivanja personaliziranih oglasa, mjerenja preferencija naših posjetitelja i sl. Svoje postavke u svakom trenutku možete promijeniti u našim Pravilima o zaštiti privatnosti na ovoj web stranici.
Neki partneri ne traže vaš pristanak za obradu vaših podataka već se pozivaju na svoj legitimni poslovni interes. Takvom načinu obrade podataka možete se usprotiviti klikom na "Saznajte više".
Mi i naši partneri obrađujemo podatke kako slijedi: Pohranjivanje i / ili pristup podacima na uređaju, Precizni geolokacijski podaci i identifikacija pregledavanjem uređaja, Prilagođeni oglasi i sadržaj, mjerenje oglasa i sadržaja, uvidi o publici, razvoj proizvoda

Obavezni kolačići

Neobavezni kolačići:

Davanjem suglasnosti za gore navedene svrhe ovoj web stranici i njezinim partnerima dopuštate i provođenje sljedeće obrade podataka: Jamčenje sigurnosti, sprječavanja prevara i ispravljanja pogrešaka, Povezivanje različitih uređaja, Primanje i korištenje automatski poslatih karakteristika uređaja radi identifikacije, Tehnički isporučuju oglase ili sadržaj, i Usklađivanje i kombiniranje izvanmrežnih izvora podataka
Prihvaćam
Saznajte više